/ News / Royal Road Intersects 181 Meters at 1.1 Grams Per Tonne Gold Equivalent from Its Guintar Copper and Gold Project

Royal Road Intersects 181 Meters at 1.1 Grams Per Tonne Gold Equivalent from Its Guintar Copper and Gold Project

Apr 28, 2022

El Aleman 2 April 2022

Includes 43 meters at 2.4 grams per tonne gold, 8.0 grams per tonne silver and 0.4% copper

April 28, 2022Toronto, Ontario: Royal Road Minerals Limited (TSXV:RYR) (“Royal Road” or the “Company”) announces results from a further two diamond drill holes and from new saw-cut channel samples taken from outcrops and underground development at its Guintär copper-gold exploration project, in Antioquia Department, Colombia.

The Guintär project is part of the Guintär-Niverengo and Margaritas (GNM) project area which comprises the two contiguous Guintär, and Niverengo concession contracts and the neighboring Margaritas concession contract, located approximately 50 Km west of Medellin in Antioquia Department, Colombia. The titles were acquired through the Company’s purchase of Northern Colombia Holdings Limited, an affiliate of AngloGold Ashanti Limited (see Press Release May 31, 2019). The GNM project is a joint venture pursuant to a strategic alliance agreement dated March 2, 2020 (the “Strategic Alliance Agreement”) between the Company and Mineros S.A. (“Mineros” TSX:MSA; MINEROS:CB; see Press Release March 3, 2020) under which Royal Road is the operator. On April 6, 2022, having funded a total of US$ 2.5 million in exploration expenditures and exercised its first option, Mineros exercised its second option to acquire a 50% interest under the Strategic Alliance Agreement. Royal Road hold the remaining 50% interest. Following Mineros’ exercise of the second option, Royal Road and Mineros will contribute funds to further advance the GNM project in proportion to their respective joint venture interests. In December of 2021 the Company entered into option agreements with neighboring and immediately contiguous property holders (see Press Release December 14, 2021).

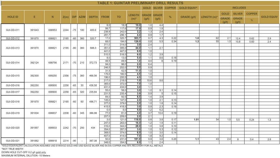
Drilling at Guintär commenced in July of 2021 and was aimed principally at testing for an underlying intrusive or porphyry-related source to the gold and copper mineralization which had been intersected in previous drilling and is evident in surface geochemical sampling over an area of more than 10 square kilometers (see Figure 1). Initial results have been encouraging and include; GUI-DD-012, 303.7 meters at 1.0 grams per tonne gold equivalent (including 62.0 meters at 2.1 grams per tonne gold, 12.4 grams per tonne silver and 0.62% copper) and GUI-DD-013, which returned 126.0 meters at 1.4 grams per tonne gold equivalent (see Press Release December 14, 2021) from sheeted and stockwork porphyry-style veins hosted in a strongly altered diorite porphyry.

The Company has received results from a further two diamond drill holes from its 2022 drilling program at the Guintär project (see Figure 1 and Table 1). Significant intersections include:

GUI-DD-020 118.0 meters at 1.0 grams per tonne gold equivalent¹
(0.8 grams per tonne gold, 3.8 grams per tonne silver and 0.17% copper)
Including (from 6.0 meters), 54.0 meters at 1.0 grams per tonne gold, 5.5 grams per tonne silver and 0.24% copper

GUI-DD-021 181.0 meters at 1.1 grams per tonne gold equivalent
(0.9 grams per tonne gold, 3.6 grams per tonne silver and 0.20% copper)
Including (from 148.0 meters), 43.0 meters at 2.4 grams per tonne gold, 8.0 grams per tonne silver and 0.40% copper

(Not true width and the company does not have sufficient information to make a determination of the true widths of the drill hole intersections)


Gold and copper mineralization intersected in GUI-DD-020 is associated with porphyry-style veins hosted in diorite dykes and sills, skarn and siliceous hornfels. From surface and over its entire length, GUI-DD-20 returned 434 meters at 0.7 grams per tonne gold equivalent and extends mineralization across the trace of drill holes GUI-DD-12 and 13 to both the east and west and also at depth (the drill hole ended in 0.4 grams per tonne gold). Drill hole GUI-DD-021 averaged 0.5 grams per tonne gold from surface along its entire length and intersected gold and copper mineralization related with porphyry-style veins hosted in blocks of hornfels and diorite porphyry dykes and sills. The generally broad distribution of gold and copper mineralization in drill holes at Guintär, together with the style of alteration, the block-dyke and sill relationships and extensive regional roof-type geometry is interpreted to imply potential for a major mineralized probably porphyry-style intrusion at depth.

The Company is also carrying out extensive saw-cut channel sampling of historic artisanal mining tunnels and exposures of porphyry-style veins hosted in biotite-rich hornfels and micro diorite dykes located along the Careperro Creek (see Figures 1 and 2). Significant results returned so far from outcrop in the Careperro Creek, include trench GUI-CH-002, 24.2 meters at 0.9 grams per tonne gold, 16.2 grams per tonne silver and 0.3% copper and trench GUI-CH-003, 15.7 meters at 0.9 grams per tonne gold, 9 grams per tonne silver and 0.5% copper. The Company is currently locating a drill hole to test beneath these outcropping mineralized vein occurrences.

“We are drilling and sampling dyke, sill, hornfels and skarn-hosted gold and copper mineralization with the obvious target being a larger, more coherent body located at depth”. said Dr Tim Coughlin, Royal Road’s President and CEO. “In other words, we believe we are in the aerially extensive roof zone to a major underlying mineralized body. This raises the question of what lies beneath the more than 10 square kilometers of skarn and hornfels hosted gold and copper mineralization which characterizes the project. Previous drilling at Niverengo, which is located a kilometer away from our current drill holes, intersected skarn-style mineralization of 88 meters at 0.9 grams per tonne gold; we now know that such grades hosted in skarn rocks at Guintär are indicative of underlying intrusive and probably porphyry style mineralization”.


Neither the TSX Venture Exchange nor its Regulation Services Provider (as that term is defined in the policies of the TSX Venture Exchange) accepts responsibility for the adequacy or accuracy of this release.

The information in this news release was compiled, reviewed and verified by Dr. Tim Coughlin, BSc (Geology), MSc (Exploration and Mining), PhD (Structural Geology), FAusIMM, President and CEO of Royal Road Minerals Ltd and a qualified person as defined by National Instrument 43-101. Royal Road Minerals employees are instructed to follow standard operating and quality assurance procedures intended to ensure that all sampling techniques and sample results meet international reporting standards. More information can be found on Royal Road Minerals web site at www.royalroadminerals.com

Quality Assurance and Quality Control:

Sample preparation and analyses are conducted according to standard industry procedures. Drill core and saw-cut channel samples are crushed, split and pulverized prior to analysis of Gold by fire assay and Atomic Absorption and multi-elements by ICP-AES and ICP-MS after four acid digestion. Soil samples are sieved to -200 mesh and analyzed for Gold by fire assay and ICP AES and multi-elements by ICP-AES and ICP-MS after aqua regia digestion. Analytical performance is monitored by means of certified reference materials (CRMs), coarse blanks, coarse and pulp duplicate samples. Surface samples have been prepared in ALS Chemex preparation lab in Colombia and analyses have been completed in ALS Chemex Lima.

¹ Gold equivalent calculation assumes USD $1900/Oz gold, USD $24/Oz SILVER and USD $4.5/lb Copper and 90% recovery for all metals

Cautionary statement:

This news release contains certain statements that constitute forward-looking information and forward-looking statements within the meaning of applicable securities laws (collectively, “forward-looking statements”) describing the Company’s future plans and the expectations of its management that a stated result or condition will occur. Such forward-looking statements involve known and unknown risks, uncertainties and other factors that may cause the actual results, performance or achievements of the Company, or developments in the Company’s business or in the mineral resources industry, to differ materially from the anticipated results, performance, achievements or developments expressed or implied by such forward-looking statements. Forward-looking statements include all disclosure regarding possible events, conditions or results of operations that is based on assumptions about, among other things, future economic conditions and courses of action, and assumptions related to government approvals, and anticipated costs and expenditures. The words “plans”, “prospective”, “expect”, “intend”, “intends to” and similar expressions identify forward looking statements, which may also include, without limitation, any statement relating to future events, conditions or circumstances. Forward-looking statements of the Company contained in this news release, which may prove to be incorrect, include, but are not limited to the Company’s exploration plans.

The Company cautions you not to place undue reliance upon any such forward-looking statements, which speak only as of the date they are made. There is no guarantee that the anticipated benefits of the Company’s business plans or operations will be achieved. The risks and uncertainties that may affect forward-looking statements include, among others: economic market conditions, anticipated costs and expenditures, government approvals, and other risks detailed from time to time in the Company’s filings with Canadian provincial securities regulators or other applicable regulatory authorities. Forward-looking statements included herein are based on the current plans, estimates, projections, beliefs and opinions of the Company management and the Company does not undertake any obligation to update forward-looking statements should assumptions related to these plans, estimates, projections, beliefs and opinions change.

For further information please contact:

Dr. Timothy Coughlin

President and Chief Executive Officer

+44 (0)1534 887166

info@royalroadminerals.com

Other news

Logo
May 06, 2026

Royal Road Minerals is back, and so is Colombia

Logo
May 05, 2026

Royal Road Minerals: GAM drill results point to major gold system

RR Logo Fog
May 05, 2026

Royal Road Minerals Intersects 96 Meters At 1.1 g/t Gold Equivalent (Or 1.3% Copper Equivalent) At The GAM Porphyry Project, Colombia

RR Night Desert
Apr 22, 2026

Royal Road Updates Consolidation Strategy at Lalla Aziza, Kingdom of Morocco

Toucan Flipped FTGNTC
Apr 04, 2026

Investor Newsletter, March 2026

IMG 2995
Mar 31, 2026

Helicopter Drill Rig Transport - Margaritas

CEO CA Logo
Mar 25, 2026

Royal Road Minerals is Proving a Singular, District-Scale Porphyry System in Colombia

Logo
Mar 25, 2026

Royal Road Defines Expanding Bulk-Tonnage Porphyry-Skarn System at GAM Project

RR Logo Fog
Mar 18, 2026

Royal Road Minerals Announces 176 Metres At 1.2 g/t Gold Equivalent From Drilling And Defines Expanding Bulk-Tonnage Porphyry Skarn-System At Guintar: Colombia

RR Night Desert
Mar 14, 2026

Investor Newsletter, February 2026

Logo
Mar 05, 2026

Royal Road Minerals CEO on Colombia drill results pending

RR Night Desert
Feb 26, 2026

Royal Road Minerals Reports Positive Exploratory Drill Results from its Jabal Sahabiyah Project: Kingdom of Saudi Arabia

RR Logo Fog NMNW
Feb 23, 2026

Royal Road CEO talks Colombia and Saudi Arabia Drilling

RR Logo and Jungle
Jan 31, 2026

Investor Newsletter, January 2026

T Hand T
Jan 19, 2026

The TrailHeads & Titans Interview

CEO CA Logo
Jan 15, 2026

CEO.CA - Royal Road Back in Colombia: 30-Year Title Secured, Testing Porphyry Extension Now

P1000787
Jan 12, 2026

Royal Road Secures Title Grant and Advances Drilling Under Option Agreement, GAM Project, Colombia

Fondo Newsle
Dec 28, 2025

Investor Newsletter, December 2025

Signal 2025 12 22 180420
Dec 22, 2025

Royal Road Provides Exploration Update

White logo on red sky 1
Nov 27, 2025

Royal Road Minerals Announces Closing of Non-Brokered LIFE Financing

IMG 4975
Nov 21, 2025

The Assay TV Interview

IMG 8071
Nov 17, 2025

Royal Road Reports Positive Rock-Chip Channel Results From Ash Shajjah, Saudi Arabia: Follow-Up Drilling Planned

White logo on red sky 1
Nov 03, 2025

Royal Road Minerals Announces Non-Brokered Private Placement Offering

Oct 23, 2025

Royal Road Minerals Announces Resignation of Non-Executive Director

Rrm news img10 25
Oct 06, 2025

Royal Road Reports First Pass Scout Drilling, Trench and Channel Sample Results From It's Jabal Sahabiyah Project: Kingdom of Saudi Arabia

MG 0773
Sep 29, 2025

Royal Road Minerals Provides Update: Guintar-Margaritas Project, Colombia

RRM R2 v3
Sep 29, 2025

Royal Road and Rio2 Announce Share Acquistion by Rio2

Fondo Newsle
Aug 10, 2025

Investor Newsletter, July 2025

71574 C07 2 CAA 4 C9 C 94 D3 FAA896 CF2 DA2
Jul 14, 2025

Royal Road Announces Scout Drilling Results From The Lalla Aziza Copper Project, Kingdom of Morocco

Fondo Newsle
Jul 05, 2025

Investor Newsletter, June 2025

Screenshot 2025 06 30 125953
Jun 30, 2025

Liberty and Finance Interview

Fondo Newsle
Jun 08, 2025

Investor Newsletter, May 2025

Qqqqqqqqqqqqqqq125941
May 21, 2025

Royal Road Announces OTCQB Quotation

1658244219945
May 13, 2025

Royal Road Announces Appointment of Sarah Armstrong-Montoya to the Board of Directors, Establishment of Special Advisory Board, Issue of Stock Options

Fondo Newsle
May 11, 2025

Investor Newsletter, April 2025

Screenshot 2025 05 09 172452
May 07, 2025

Rule Symposium 2025: Rick Rule interviews Tim Coughlin, CEO of Royal Road Minerals

Ledesk logo
Apr 03, 2025

ledesk.ma - Apres la deception d'Alouana, Royal Road signe des resultats prometteurs a Lalla Aziza

Signal 2025 03 07 163312 002
Apr 02, 2025

Royal Road Minerals Provides Exploration Update, Lalla Aziza Copper Project, Kingdom of Morocco

Fondo Newsle
Mar 31, 2025

Investor Newsletter, March 2025

Signal 2024 12 19 151632 009
Mar 10, 2025

Royal Road Minerals Reports Scout Drilling Results and Provides an Update on The Alouana Option Agreement: Kingdom of Morocco

Fondo Newsle
Mar 02, 2025

Investor Newsletter, February 2025

Fondo Newsle
Feb 03, 2025

Investor Newsletter, January 2025

Fondo Newsle
Dec 28, 2024

Investor Newsletter, December 2024

Fondo Newsle
Dec 07, 2024

Investor Newsletter, November 2024

Signal 2024 09 25 071651 005
Nov 05, 2024

Royal Road Minerals Provides Exploration Update; Expands 2025 Drilling Program at Jabal Sahabiyah, Relinquishes Al Miyah Tender, Kingdom of Saudi Arabia

Fondo Newsle
Nov 02, 2024

Investor Newsletter, October 2024

Signal 2024 10 23 121756 002
Oct 23, 2024

Royal Road Minerals Receives All Requisite Drilling Permits: Alouana Copper-Gold Polymetallic Project, Kingdom of Morocco

Screenshot 2024 09 30 120601
Sep 30, 2024

Royal Road Minerals' Subsidiary Qualifies for the Saudi Arabian Exploration Enablement Program

Fondo Newsle
Sep 28, 2024

Investors Newsletter, September 2024

Screenshot 2024 09 03 102052
Sep 03, 2024

Royal Road Minerals and Carbomine SARL, Enter Into a Binding Letter of Intent for The Exploration and Development of The Lalla Aziza Copper Mine, Kingdom Of Morocco

Fondo Newsle
Aug 31, 2024

Investors Newsletter, August 2024

Fondo Newsle
Jul 31, 2024

Investors Newsletter, July 2024

Whats App Image 2024 02 21 at 08 33 22 1ec46a30
Jul 29, 2024

Royal Road Minerals Announces Results Of Infill Soil Geochemical Sampling And Updates on Drill Permitting: Alouana Copper-Gold Project, Kingdom of Morocco

Jabal Sahabiyah Project Photo Saudi Arabia
Jul 03, 2024

Royal Road Minerals' Saudi Subsidiary Selected as Winning Bidder for the Al-Miyah Copper-Gold Tender

Fondo Newsle
Jun 30, 2024

Investors Newsletter, June 2024

Fondo Newsle
Jun 02, 2024

Investors Newsletter, May 2024

Fb pai
May 30, 2024

Royal Road Minerals Advances Exploration at Jabal Sahabiyah Project in Saudi Arabia

Shutterstock 1866024199
May 29, 2024

Royal Road Minerals Provides Exploration Update for its Jabal Sahabiyah Project, Kingdom of Saudi Arabia

Unnamed 3
Apr 30, 2024

Investors Newsletter, April 2024

Unnamed
Mar 22, 2024

Investor Newsletter, March 2024

Signal 2024 02 27 115740 002
Feb 27, 2024

Royal Road Provides Exploration Update; Alouana And Jabal Sahabiyah Projects, Kingdoms of Morocco and Saudi Arabia

Saudi 1989581063
Jan 31, 2024

Royal Road Announces Board Changes and Stock Option Updates

Screenshot 2023 11 01 134803
Jan 23, 2024

Royal Road Minerals JV gets preferred bidder status for exploration license in Saudi Arabia

FMF new logo
Jan 16, 2024

Future Minerals Forum 2024 Preview Magazine

Screenshot 2023 11 01 134803
Jan 15, 2024

Royal Road Minerals JV gets preferred bidder status for Jabal Sahabiyah Exploration License in Saudi Arabia

Signal 2024 01 15 140137
Jan 15, 2024

Royal Road Minerals and MSB Holdings Granted Preferred Bidder Status for The Jabal Sahabiyah Exploration License; Kingdom of Saudi Arabia

Screenshot 2023 11 01 134803
Dec 01, 2023

Royal Road speaks to Proactive at Resourcing Tomorrow 2023

Screenshot 2023 11 21 134922
Nov 21, 2023

Royal Road Announces Regional Sampling, Mapping and Initial Scout Drilling Results From Its Santo Domingo Porphyry Copper Gold Project, San Juan Province; Argentina

Screenshot 2023 11 01 134803
Nov 01, 2023

Royal Road Minerals making headway in two ''incredibly supportive'' jurisdictions

IMG 0266 min
Oct 24, 2023

Royal Road Enters Into Option and Royalty and Cash and Royalty Paying Formalization Agreements With Two Producing Gold Mines; Colombia

Signal 2023 10 16 42644 pm
Oct 17, 2023

Royal Road Minerals' 50% - Owned Subsidiary, Royal Road Arabia, Enters Into Option Agreement to Acquire The Alouana Copper, Gold, Polymetallic Project: Morocco

Saudi 1989581063
Aug 24, 2023

Royal Road and MSB Holdings Establish 50-50 Joint Venture Company In The Kingdom Of Saudi Arabia

Signal 2023 07 17 121758 002
Jul 17, 2023

Royal Road Provides Exploration Update from Its Santo Domingo Porphyry Copper and Gold District; San Juan Province, Argentina

Unnamed
Jun 16, 2023

Newsletter: Royal Road Advances at Santo Domingo, Argentina

IMG 9240
Jun 01, 2023

Royal Road and MSB Holdings Enter Into Joint Venture Shareholders Agreement for Mineral Exploration

GUI DDH 012 187 13m to 192 7m Sample box 69 70 1
May 31, 2023

Royal Road and Mineros S.A Terminate Joint Venture and Rights-Related Agreements In Nicaragua, Argentina, and at Royal Road's GNM Property In Colombia

IMG 6510
May 09, 2023

Royal Road Provides Exploration Update

Gabo 1680x600
Mar 02, 2023

Royal Road Seeks New Horizons In 2023

Screenshot 2023 03 02 at 13 25 10
Mar 02, 2023

Royal Road Announces Board Management Changes and Brand Refresh

IMG 1578
Feb 15, 2023

Royal Road Enters into Definitive Agreement over Mineral Rights Within the Santo Domingo Porphyry Copper and Gold District: San Juan, Argentina

Rrm news 1
Feb 09, 2023

Royal Road Enters into Strategic Alliance and Non-binding Letter of Intent with MSB Holdings Ltd for Mineral Exploration in the Kingdom of Saudi Arabia

Las margaritas prospect 1
Feb 07, 2023

Royal Road Announces Integration of Guintär and Niverengo Mining Concession Contract Areas; Antioquia Region, Colombia

Rr mountain
Jan 24, 2023

Royal Road Provides Update on Strategy and Exploration Plans for 2023

Nicaragua news
Dec 06, 2022

Royal Road Provides Drilling Update from Its Caribe Gold Discovery; Nicaragua

Santa Domingo min 1 1 compressed
Nov 29, 2022

Royal Road Enters into Binding Heads of Agreement Over Mineral Rights Comprising the Santo Domingo Porphyry Copper and Gold District: San Juan, Argentina

Inclusivity Post FEB 2022 3
Nov 14, 2022

Royal Road Updates Scout RC Drilling from Its Caribe Gold Discovery: Nicaragua

Hugh Devlin and Guy Wallis
Sep 05, 2022

Royal Road Announces Board Changes

Our people Omar Alberto Montoya Operations Assistant
Sep 01, 2022

Our People: Meet Omar Alberto Montoya, Operations Supervisor, Royal Road

Screenshot 2022 04 13 at 10 53 29
Aug 30, 2022

World Wildlife Day, 2022 Nicaragua

La Merced min
Aug 04, 2022

Royal Road Provides Exploration Update: Colombia

MG 0745
Aug 03, 2022

Royal Road Provides Drilling Update from Its Caribe Gold Discovery: Nicaragua

Hugh Devlin Website News Thumbnail
Jul 21, 2022

Royal Road Announces Board and Management Changes

Coffee Roasting Facility
Jul 11, 2022

New Coffee Roasting Machine, Güintar, Colombia

Eliana Website Thumbnail
Jul 01, 2022

Our People: Meet Eliana María Quiceno, Field Assistant, Royal Road

MG 0767 min
Jun 28, 2022

Royal Road Intersects 80.5 Meters at 1.0 Grams Per Tonne Gold (Including 18.0 Meters at 3.0 Grams Per Tonne Gold) in Step Out Drill Hole, Adjacent to Its Guintar Copper and Gold Project: Colombia

Deutsche Goldmesse MAY 2022 3
Jun 02, 2022

Deutsche Goldmesse- May 27, 2022, Corporate Presentation

Fabien Ramirez WEB
May 30, 2022

Our People: Meet Fabián Emilton Ramírez Correa, Logging Assistant, Royal Road

Nueva America 2022 3
May 25, 2022

Royal Road Updates Exploration and Drill Preparations at Its Los Milagros Gold and Copper District: Nicaragua

Our people Jorge Sánchez Field assistant WEBSITE
May 17, 2022

Our People: Meet Jorge Andrés Velásquez Sánchez, Field Assistant, Royal Road

Corporate Presentation Mock Front Cover
Mar 18, 2022

Investor Update: New Corporate Presentation, March 2022

Nelson Maria Thumbnail WEB
Mar 16, 2022

Our People: Royal Road's Nelson and Maria, Guintär, Colombia

Core Shed Rosita 5
Mar 02, 2022

Royal Road Provides Exploration Update for Its Caribe Gold Discovery: Nicaragua

MG 0769 min
Feb 23, 2022

Royal Road Announces Further Drilling Results and Exploration Update from Its Guintar Copper and Gold Project: Colombia

Thumbnail Terra Carta
Dec 21, 2021

Investor Newsletter: December 2021, Royal Road Accepted as Participant In HRH The Prince of Wale's Terra Carta - Sustainable Markets Initiative

Guintar Mountain View From Drill Rig1
Dec 20, 2021

3D Virtual Reality Tour of Guintar

SOCIAL MANAGEMENT AWARD FROM COLOMBIAN MINISTRY OF MINES AND ENERGY AND NATIONAL MINING AGENCY 3
Dec 15, 2021

Royal Road Receives Environmental and Social Management Award from Colombian Ministry of Mines and Energy and National Mining Agency

Tim Guintar
Dec 14, 2021

Güintar Drill Results and ESG Recognition

IMG 0290 min
Dec 14, 2021

Royal Road Intersects 303.7 Meters at 1.1 Grams Per Tonne Gold Equivalent In Newly Discovered Porphyry Copper and Gold System at Its Guintar Project: Colombia

IMG 0465 min
Dec 14, 2021

Road Road Executes Binding Heads of Agreement Over Properties Proximal to Its Guintar Project: Colombia

Mines Money Explorer Developer Award
Dec 06, 2021

Royal Road Receives Environmental, Social and Governance (ESG) Exploration and Developer Award During Ceremony at Mines And Money Event, London

Investor Newsletter Image 2021
Nov 22, 2021

Investor Newsletter, November 2021 Royal Road Accelerator: Receives Economic Development Award and Announces Recipients of Its First Community Investment Fund

Handshake Press Release min
Nov 03, 2021

Royal Road Announces New Board Appointments and Establishment of Advisory Board

Screenshot 2021 09 20 at 16 06 58
Sep 20, 2021

Renowned Investor Rick Rule Interviews CEO Tim Coughlin as he Searches for Proven Performers and Serial Success.

New members
Sep 08, 2021

Royal Road Announces Management Changes

Whats App Image 2020 08 25 at 18 48 10 1
Sep 01, 2021

Royal Road Intersects 207 Meters at 1.1 Grams Per Tonne Gold at Its Caribe Discovery: Nicaragua

Whats App Image 2020 09 25 at 11 33 15 1
Aug 31, 2021

Royal Road Receives New 30 Year Mining Concession Contract for Its Margaritas Gold Project in Antioquia: Colombia

Image 1 2 2
Jul 29, 2021

Investor Newsletter, July 2021: Exploration Update

36f98183 c46a 51ae d2f7 7b7fcdcb2329
Jun 22, 2021

Royal Road Reports Further Positive Results from Exploratory Drilling at Its Caribe Gold Discovery: Nicaragua

Screenshot 2021 06 02 at 13 07 44 min 1
Jun 02, 2021

Royal Road Receives Drilling Permits at Its Guintar-Niverengo Project and Provides an Update on Its Nearby Margaritas Gold Project: Colombia

Luna Roja Sale min
May 21, 2021

Royal Road Closes Luna Roja Sale

Royal Road Minerals Limited
May 18, 2021

CEO Presents at Adelaide Capital's Central America Mining Conference

NEWS LIZ APPOINTMENT
May 18, 2021

Royal Road Announces Appointment of Liz Wall to the Position of Chair and Resignation of Peter Mullens

Flat breciia
Apr 08, 2021

Investor Newsletter, April 2021: Exploration Update

Rrm video no playbtn
Apr 01, 2021

Royal Roads Corporate Video

Caribeann
Mar 17, 2021

Road Road Recommences Drilling and Reports Further Positive Results from Its Caribe Gold Discovery: Nicaragua

Captura de pantalla 2021 03 01 081707 png luna roja
Mar 01, 2021

Royal Road Enters Into Definitive Agreement for the Sale of Its 50% Interest in the Luna Roja Gold Project in Nicaragua

Nwdn file temp 1613051747198
Feb 11, 2021

Royal Road Reports Further Positive Follow-up Drilling Results from Its Caribe Gold Discovery: Nicaragua

IMG 0662
Jan 14, 2021

Investor Newsletter, January 2021: Exploration Update

Foto para PR Nov 10
Nov 10, 2020

Royal Road Reports Positive Follow-up Drilling Results from Its Caribe Gold Discovery: Nicaragua

Foto boletin nov
Nov 01, 2020

Investor Newsletter, November 2020

Unnamed 2020 10 06 124725
Oct 06, 2020

Investor Newsletter, October 2020: Exploration Update

GNM bdrop
Sep 29, 2020

Royal Road Announces Drilling Results & Provides Exploration Update for Its Guintär-Niverengo Project; Colombia

Figure 2 1
Sep 14, 2020

Royal Road Intersects 95 Meters at 1.5 Grams per Tonne, Including 45 Meters at 3.0 Grams Per Tonne Gold at the Luna Roja Product, Nicaragua

IMG 20190917 172850 min
Aug 18, 2020

Royal Road Announces Management Change

Whats App Image 2020 08 05 at 07 34 38
Aug 05, 2020

Investor Newsletter, August 2020: Exploration Update

DJI 0056
Aug 04, 2020

Royal Road Announces Closing of C$11.5 Million Bought Deal Financing

Whats App Image 2020 07 14 at 15 44 46
Jul 14, 2020

Royal Road Announces $10 Million Bought Deal Financing

109577845 3043908599064110 4576056452419318527 o
Jul 13, 2020

Royal Road Intersects 65 Meters at 6.9 Grams Per Tonne Gold at The Luna Roja Gold-Skarn Project: Nicaragua

Image2 200514 140718 min
May 05, 2020

Royal Road Reports New Ground Geophysical Results from the Caribe Gold Discovery: Nicaragua

2
Apr 29, 2020

Further Mining Formalization Agreements at The La Candelaria and San Miguel Gold Mines in Narino

ESMERALDA Image min
Apr 22, 2020

Royal Road Enters Agreements to Formalize Mining Activities at The La Esmeralda Gold Mine, Narino District, Colombia

Resume Op
Apr 20, 2020

Royal Road to Resume Exploration Work in Colombia: Colombian National Mining Authority Lifts Operating Restrictions for Mineral Exploration Subject to COVID-19 Guidelines

Whats App Image 2020 04 09 at 07 00 44
Apr 09, 2020

Investor E-Blast, April 2020: A message from Our Team

IMG 20191115 WA0100
Mar 03, 2020

Royal Road Enters Into Definitive Strategic Alliance Agreement with Mineros S.A. for Colombian Joint Venture

Screenshot 2020 02 27 at 12 21 37
Mar 02, 2020

Royal Road Looking to Get Drills Turning on Their Projects In Latin America

Screenshot 2020 02 20 at 10 23 51
Feb 20, 2020

Royal Road - I'm on your side, oh, when times get rough

RRM
Feb 04, 2020

Investor Newsletter, February 2020

5c291105 cd41 44d4 9bfb 57496f71d1c3
Feb 03, 2020

Royal Road Announces Extension of Letter of Intent With Mineros S.A. for Colombian Joint Venture

C08 DF752 C609 48 E1 8 C8 D A41830 C05 D01
Dec 23, 2019

Royal Road Enters Into Letter of Intent of Intent with Mineros S.A. for Colombian Joint Venture

Unnamed 16
Dec 13, 2019

Investor Newsletter, December 2019

20190825 105621 min
Dec 05, 2019

Royal Road Receives Drilling Permits for Its Guintar-Niverengo Gold Project: Colombia

942b9501 6156 4e84 911b 777c7119bfa8 2
Nov 21, 2019

Royal Road Closes Private Placement Offering

AGNICO EAGLE Pos PMS
Oct 21, 2019

Royal Road Announces Private Placement Financing

Nica
Oct 16, 2019

Celebrating 100,000 Hours Without Work-Related Accidents

Cbd8e519 1529 43f6 b9b3 3e585b324c76 min
Oct 07, 2019

Royal Road Reports Positive Drilling at Its Caribe Discovery: Nicaragua

MCR
Oct 02, 2019

How Royal Road Minerals Colombia Operates

4f44afbb 612d 41e1 9cc8 ed60fe6315b8 min
Oct 02, 2019

Royal Road Announces Results from Final Three Scout Drill Holes at Its Luna Roja Skarn Gold Project: Nicaragua

B40f75f9 30dc 428e a6e7 87cfd0b8f00c
Oct 02, 2019

Royal Road Enters Agreements to Formalize Mining Activities at The El Gualtal Gold Mine, Narino District, Colombia

8d69fc0f faa3 44ee b454 54735f0c8ac1
Sep 26, 2019

Royal Road Receives New 30 Year Mining Concession Contract in The Caldas and Bisaralda Departments of Colombia

47651 Figure 1
Sep 10, 2019

Royal Road Presents Exploration Update for Its Guintar-Niverengo-Margaritas Gold Project: Colombia

Figure 1 2
Sep 04, 2019

Royal Road Reports Positive Drill Results from Its Luna Roja Skarn Gold Project: Nicaragua

Cat header
Aug 27, 2019

Royal Road Announces Acquisition of Minority Interest in Colombian Subsidiary Minerales Camino Real S.A.S.

Columbia
May 31, 2019

Royal Road Announces Closing of Acquisition of Colombian Exploration Assets

AGNICO EAGLE Pos PMS 1
May 24, 2019

Royal Road Closes Private Placement Offering and Announces Strategic Investment by Agnico Eagle Mines Limited

NEWS LIZ APPOINTMENT 1
May 13, 2019

Royal Road Announces Appointment of Board Director

Apr 30, 2019

Royal Road Announces Private Placement Financing

Rr accelerator
Apr 17, 2019

Investor Newsletter, April 2019

Assets
Mar 05, 2019

Royal Road to Acquire Colombian Exploration Assets from AngloGold Ashanti

Jan 24, 2019

Royal Road Announces Management Changes and Incentive Stock Option Grant

Drilling permit
Dec 20, 2018

Royal Road Receives Drilling Permit for Los Andes Copper-Gold Project: Nicaragua

Screenshot 2018 12 03 at 10 37 11
Nov 28, 2018

Royal Roads CEO Upbeat About Potential of Nicaragua's Golden Triangle

Regional r and d
Nov 15, 2018

Regional Reconnaissance and Drainage Geochemical Sampling Underway

Sep 25, 2018

Royal Road Announces Initial Gold Channel - Sampling Results from The Luna Roja Gold Skarn Project: Nicaragua

Investors Newsl August
Aug 16, 2018

Royal Road, Investor Newsletter, August 2018

Jun 27, 2018

Royal Road Announces New Exploration Results and Advances Caribe and Los Andes Projects to Drilling Stage: Nicaragua

Jun 13, 2018

Investor Newsletter, June 2018

Jun 06, 2018

Royal Road Announces Board and Management Changes and Incentive Stock Option Grant

May 15, 2018

Royal Road Announces Initial Soil Geochemical Results from Newly Identified Caribe Gold Prospect, Golden Triangle: Nicaragua

Mar 23, 2018

Royal Roads CEO Says 'Exciting' Finds Made at Golden Triangle Project in Nicaragua

Mar 20, 2018

Landmark Agreement with Nicaraguan Environmental Organization Centro De Entendemiento Con La Naturaleza

Geochemical results LR
Mar 12, 2018

Royal Road Announces Initial Soil Geochemical Results from The Luna Roja Gold Skarn Project: Nicaragua

Mar 03, 2018

Sprott Capital Partners, March 2018

Mar 01, 2018

Drilling Results from Piedra Iman Copper Gold Project in Nicaragua

Feb 22, 2018

Royal Road Closes Private Placement Financing Transactions

Jan 25, 2018

Barrick Grabs Stake in Royal Road Minerals in $1.3 Million Deal

Jan 24, 2018

Royal Road Announces Strategic Investment from Barrick Gold Corporation and Concurrent Private Placement Financing

Dec 18, 2017

Royal Road Announces Execution of Definitive Agreement with Economias Sociales Del Comun (ECOMUN), Colombia

Nov 20, 2017

Investor Newsletter, November 2017

Oct 26, 2017

Royal Road Receives Drilling Permit for Its Piedra Imán Copper Gold Project: Nicaragua

Sep 28, 2017

Royal Road Announces New Appointments and Incentive Stock Option Grant

Sep 26, 2017

Royal Road Announce Binding Framework Agreement for Its Exploration Projects in Nariño, Colombia

Sep 06, 2017

Royal Road Executes Strategic Alliance Agreement with Hemco Nicaragua S.A. for Exploration in Nicaragua

Jul 17, 2017

Royal Road Announces Sale of Non-Operational Mexican Assets Through Spinoff of Shares of Caza Gold Corp

Jun 21, 2017

Royal Road Announce Results of New Saw-Cut Channel Sampling from Its Piedra Imán Copper-Gold Project: Nicaragua

Apr 18, 2017

Royal Road Provides an Exploration Update on The Los Andes Project: Nicargua

Mar 16, 2017

Royal Road Provides and Update of Its Exploration Activities In Colombia & Details of The Caza Acquisition Projects In Nicaragua

Mar 15, 2017

Royal Road Acquires 90% of Caza Gold and Announces Expiry of Offer and Extension Period for Deposits

Feb 28, 2017

Royal Road Succeeds in Bid for Caza Gold

Feb 21, 2017

Royal Road Announces Appointment of Director, Management Change and Incentive Stock Option Grant

Feb 17, 2017

Royal Road Closes C$3.6 Million Brokered Private Placement

Jan 20, 2017

Royal Road Commences Offer for Outstanding Shares of Caza Shares of Caza Gold Corp

Jan 09, 2017

Royal Road Announces Initial Results from Its 4‐hole Scout Drilling Program at the La Golondrina Gold Project: Colombia

Caza Gold thumbnail
Dec 06, 2016

Royal Road: Caza Gold Combination Opens Access to Exciting Nicaragua

3 mins 3 questions thumbnail
Dec 06, 2016

Royal Road, Three Minutes, Three Questions; Nicaragua Acquisition

Dec 06, 2016

Royal Road Announces Friendly Combination with Caza

Oct 18, 2016

Royal Road Provides Exploration Update, La Llanada Gold District, Nariño Province: Colombia

Aug 15, 2016

Update on the Ppcoming Drilling Program at La Golondrina

Aug 02, 2016

Drilling at La Golondrina Now Complete

Jul 12, 2016

Royal Road Executes Exclusivity Agreement over La Maria Gold Project in the La Llanada Gold District, Nariño Province: Colombia

May 24, 2016

Royal Road Announces Receipt of Drilling Permissions; La Golondrina Gold Project, Nariño Province, Colombia

May 19, 2016

Drill Planning and Preparation at the Company's High-Grade La Golondrina Gold Project

May 05, 2016

Royal Road Announces Resignation of Director

Apr 27, 2016

Royal Road Announces New Environmental License and Provides Operations Update; La Golondrina Gold Project, Nariño Province, Colombia

Apr 25, 2016

Royal Road Announces Closing of Second Tranche of Private Placement Financing

Apr 15, 2016

Royal Road Announces Initial Closing and Over-Subscription of Previously Announced Financing

Apr 04, 2016

Royal Road Enters Into Option Agreement to Acquire the La Redención Gold Project in Nariño Province, Colombia

Mar 16, 2016

Royal Road Updates $CAD 1M Financing

Mar 15, 2016

Royal Road Announces $CAD 1M Financing

Mar 01, 2016

Royal Road Announce Results from Underground Channel Sampling and Mapping, La Golondrina Gold Project; Colombia

Jan 28, 2016

Royal Road Executed Exclusivity Agreement over Mina La Redención Gold Project in Nariño Province, Colombia

Jan 11, 2016

Royal Road Announce Preliminary Results from Underground Channel Sampling La Golondrina Gold Mine: Colombia

Dec 21, 2015

Royal Road Announces Closure of Turkish Purchase and Sales Transaction

Dec 15, 2015

Royal Road Announces Appointment of New Financial Officer and Grants Stock Options

RR landmark binding framework thumbnail
Dec 11, 2015

High Grade Gold the Focus for Royal Road Minerals in Colombia

Nov 25, 2015

Royal Road Announces Sale of Turkish Subsidiary and Resignation of Director

Nov 18, 2015

Update on Operations and Observations at La Golondrina

Nov 04, 2015

Update on Progress at La Golondrina in Colombia

Oct 26, 2015

Royal Road Announces Final Drilling Results from Gömeç project; Western Turkey, Termination of Option Agreement and New Strategic Focus on La Golondrina and Gold Exploration in Colombia

Oct 14, 2015

Royal Road Announces Closing of Private Placement

Oct 13, 2015

Royal Road Announces Appointment of New Director

La Golondrina deal thumbnail
Oct 09, 2015

Royal Road Minerals boss on La Golondrina Deal and Project Potential

Oct 07, 2015

Royal Road Enters Into Option Agreement to Acquire the La Golondrina Gold Project in Colombia

Proactive Investors Thumbnail 1
Sep 09, 2015

Proactive Investors Interview on Royal Road in Colombia 7th September

Sep 08, 2015

Royal Road Announces Appointment of New Chief Financial Officer and Resignation of Director and Chief Financial Officer

Aug 19, 2015

Royal Road Executes Letter of Intent for an Option to Acquire the La Golondrina Gold Project, Colombia and Announces $CAD1M Financing

Aug 17, 2015

Royal Road Intersects 52 Meters at 1.0 Gram Per Tonne Gold and 10.8 Grams Per Tonne Silver in New Gold Zone 200m to the East of Previous Drilling at Its Gomec Project: Balikesir Province: Western Turkey

Jul 15, 2015

Royal Road Intersects 118 Meters at 1.0 Gram Per Tonne Gold Including 22 Meters at 3.9 Grams Per Tonne Gold and 21.0 Grams Per Tonne Silver at Its Gomec Project: Balikesir Province: Western Turkey

Jun 30, 2015

Press Release, 30th June 2015

Jun 16, 2015

Press Release, 16th June 2015

Jun 09, 2015

Press Release, 9th June 2015

Apr 22, 2015

Press Release, April 22nd 2015

Apr 21, 2015

Press Release, 21st April 2015

Apr 20, 2015

Press Release, 20th April 2015

Apr 16, 2015

Newsletter April 16, 2015

In Colombia Royal Road Minerals operates through its wholly-owned Colombian companies Minerales Camino Real SAS founded in 2015 and Exploraciones Northern Colombia SAS acquired from previous owners in 2019. In Saudi Arabia Royal Road Minerals operates through its 50% owned Saudi Arabian registered subsidiary, Royal Road Arabia. In Morocco Royal Road Minerals operates through its 100% owned subsidiary Minéraux Chemin Réel SARL AU.

Copyright 2026. Royal Road. All rights reserved